"/>
ติดต่อสหกรณ์โทร 077-596-762-3 และ 077-596-673-4

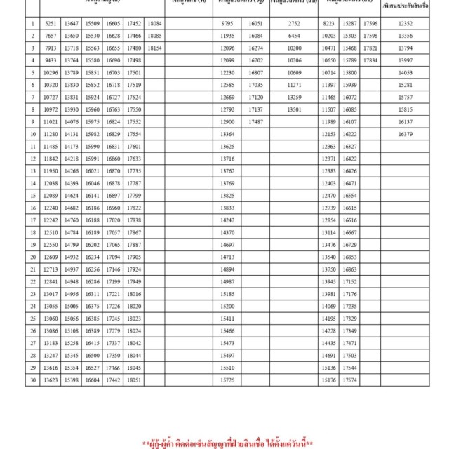
ผลการอนุมัติเงินกู้ตามมติที่ประชุมเงินกู้ครั้งที่ 10/2568 ณ วันที่ 15 ตุลาคม 2568

โดย ผู้ดูแลระบบ
 วันที่ 15 ต.ค. 2568 15:05 น.
 576